Goal
1. ํธ์์ก ๋ถํฌ(Poisson distribution)๋?
2. ํธ์์ก ๋ถํฌ๋ฅผ ์ฌ์ฉํ๋ ์์
ํธ์์ก ๋ถํฌ๋?
ํธ์์ก ๋ถํฌ๋ ํน์ ๊ธฐ๊ฐ ๋์ ์ผ์ด๋๋ ์ด๋ค ์ฌ๊ฑด์ ๋น๋๋ฅผ ํ๋ฅ ๋ก ๋ํ๋ธ ๋ถํฌ์ด๋ค. ์ด๋ฌํ ๋น๋์๋ฅผ ๋๋ค(λ)๋ก ํ์ํ๋ค. ์ผ๋ฐ ์ดํญ๋ถํฌ์๋ ๋ค๋ฅธ ์ ์ด n์ด ๋ฌดํ์ผ๋ก ๊ฐ ๋ n๊ณผ p์ ๊ฐ์ ๋ชจ๋ฅด์ง๋ง np = λ๋ฅผ ์ ์งํ๋ค๋ ๊ฒ์ด๋ค.
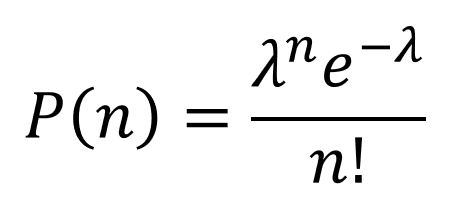
์ด๋ค ์ฌ๊ฑด์ด n๋ฒ ์ผ์ด๋ ํ๋ฅ ์ ์๋์ ๊ฐ์ด ๊ณ์ฐํ ์ ์๋ค.


ํธ์์ก ๋ถํฌ์ ํฅ๋ฏธ๋ก์ด ์ ์ ๋ถํฌ์ ํ๊ท ๊ณผ ๋ถ์ฐ์ด ๋ชจ๋ ๋๋ค์ ๊ฐ๋ค๋ ๊ฒ์ด๋ค.

ํธ์์ก ๋ถํฌ์์๋ ๋น๋์๋ฅผ x์ถ์ ํ์ํ๊ธฐ ๋๋ฌธ์ ํธ์์ก ๋ถํฌ๋ 0๋ถํฐ ์์ํ๋ค (๋ง์ด๋์ค ๊ฐ์ ๊ฐ์ง ๋น๋์๋ ์์ผ๋ฏ๋ก).

ํธ์์ก ๋ถํฌ๋ฅผ ์ด์ฉํ๊ธฐ ์ํด์๋ ๋๊ฐ์ง ์กฐ๊ฑด์ ๋ง์กฑ์์ผ์ผ ํ๋ค.
- ์ฌ๊ฑด์ ์ผ์ ํ๊ฒ ์ผ์ด๋๋ค.
- ์ฌ๊ฑด์ ์๋ก ๋ ๋ฆฝ์ ์ผ๋ก ์ผ์ด๋๋ค.
ํธ์์ก ๋ถํฌ์ ์์
ํ์๋ค์ด ํ๋ฃจ์ ์ง๋ฌธํ๋ ํ์๋ฅผ ํธ์์ก ๋ถํฌ๋ก ์ค๋ช ํด๋ณด๋ ค ํ๋ค. ํ๊ท ์ ์ผ๋ก ํ๋ฃจ์ 3๋ฒ ์ง๋ฌธ์ ํ๋ ํ์๋ค์ด ์ด๋๋ ์ 7๋ฒ ์ง๋ฌธ์ ํ ํ๋ฅ ๋ฅธ ์ผ๋ง๋ ๋ ๊น?

์์ ํธ์์ก ์์ ์ฐ๋ฉด ํ์๋ค์ด 7๋ฒ ์ง๋ฌธํ ํ๋ฅ ์ 2% ๋ผ๊ณ ๊ณ์ฐํ ์ ์๋ค.
์ฐธ๊ณ
https://www.youtube.com/watch?v=BbLfV0wOeyc
https://en.wikipedia.org/wiki/Poisson_distribution
๋๊ธ